
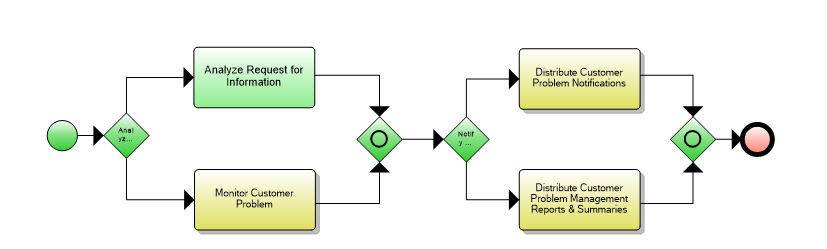
The objective of the Report Customer Problem processes is to monitor the status of customer problem reports, provide notifications of any changes and provide management reports. These processes are responsible for continuously monitoring the status of customer problem reports and managing notifications to processes and other parties registered to receive notifications of any status changes. Notification lists are managed and maintained by the Support Problem Handling processes.These processes record, analyze and assess the customer problem report status changes to provide management reports and any specialized summaries of the efficiency and effectiveness of the overall Problem Handling process. These specialized summaries could be creation of specific reports required by customers and/or other specific audiences. These processes will make the necessary reports about the problem that occurred, the root cause and the activities carried out for recovery of normal operation.